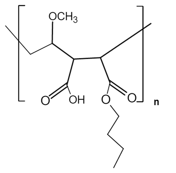
| product name | Poly( methyl vinyl ether/maleic acid) half esters copolymer (EP425/EP435) | 
| CAS No. | 25119-68-0 | 
| details | 1) Appearance : slightly turbid viscous liquid  | 
| Structural formula | ![]()  | 

Room 1201, Building A, Huitong New Yangtze River Center, No. 6 Xudong Street, Wuchang District, Wuhan City, Hubei Province
Hubei Xinjing New Materials Co., Ltd. Copyright (C) 2023 Network support China Chemical Network Global Chemical Network Business Network Shengjian Website Copyright Statement Hubei ICP No. 2023012319