search
現在位置:表紙> プロダクトセンター
xinjing New Materials

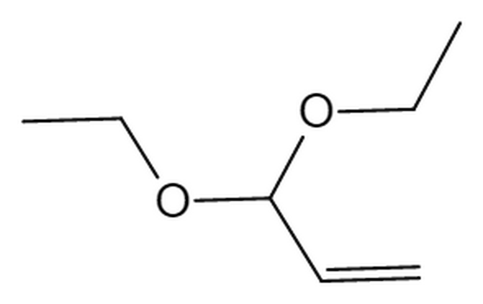
アクロレインジエチルアルデヒド

商品名 アクロレインジエチルアルデヒド
CAS No. 3054-95-3
詳細

1)外観:無色透明液体
2)包装:150 kg/内塗装塗装塗装バケツ又は鋼プラスチック複合バケツ
3)国連コード:2374、包装類別:II、危険物等級:3
4)税関番号:2911000090

構造式  アクロレインジエチルアルデヒド

Mr. Lin +86-18062697766

linzhenxing@xinjingchem.com

中国・湖北省

湖北省武漢市武昌区徐東街6号恵通新長江センターA棟1201号室