search
当前位置:首页> 产品介绍
xinjing New Materials

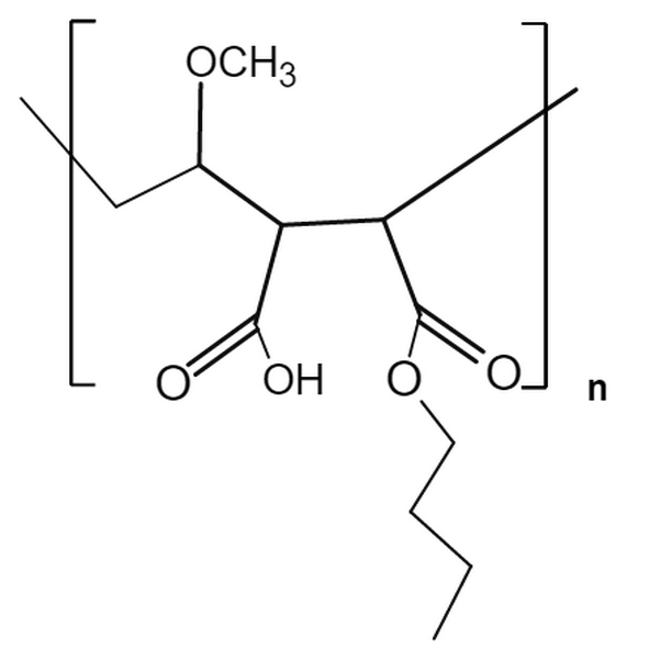
聚(甲基乙烯基醚/马来酸)半酯共聚物EP425/EP435

产品名称 聚(甲基乙烯基醚/马来酸)半酯共聚物EP425/EP435
CAS No. 25119-68-0
详细信息

1)外观:微浊粘稠液体
2)色度:<200
3)固含量:48%-52%
4)酸值:235-290
5)包装:50kg/开口钢桶或开口塑料桶
6)海关编码:3907209090

结构式 聚(甲基乙烯基醚/马来酸)半酯共聚物EP425/EP435

林振兴 18062697766

linzhenxing@xinjingchem.com

 

中国 · 湖北

湖北省武汉市武昌区徐东大街6号 汇通新长江中心A座1201室